Giới thiệu dung môi Monoethanolamine (MEA)
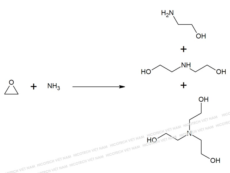
Monoethanolamine (MEA) là một hợp chất hữu cơ đơn giản thuộc nhóm amine có công thức hóa học C2H7NO. Đây là một dung dịch lỏng, không màu, có mùi đặc trưng khi ở nhiệt độ phòng. MEA được sản xuất bằng cách đưa etylene oxy và ammoniac vào phản ứng với nhau.
MEA là một chất kiềm yếu và có tính ăn mòn đáng kể, do đó cần phải được xử lý cẩn thận. Tuy nhiên, MEA lại là một hợp chất quan trọng được sử dụng rộng rãi trong nhiều ngành công nghiệp khác nhau nhờ những đặc tính ưu việt của nó.
Tính chất lý hóa của Monoethanolamine (MEA)
Tính chất vật lý
- Trạng thái: Lỏng
- Màu sắc: Không màu
- Mùi: Mùi đặc trưng amine
- Khối lượng phân tử: 61,08 g/mol
- Tỷ trọng: 1,018 g/cm3 ở 20°C
- Điểm đông đặc: 10,5°C
- Điểm sôi: 170°C
- Áp suất hơi: 0,27 mmHg ở 20°C
- Độ tan trong nước: Tan hoàn toàn
Tính chất hóa học
- Công thức cấu tạo: HO-CH2-CH2-NH2
- Tính kiềm yếu
- Khả năng hấp thụ CO2, H2S
- Điểm đẳng điện: 9,5
- Độ ăn mòn cao đối với một số kim loại
Bảng thông số kỹ thuật
| Đặc tính | Giá trị |
|---|---|
| Trạng thái vật lý | Lỏng |
| Màu sắc | Không màu |
| Mùi | Amine |
| Khối lượng phân tử | 61,08 g/mol |
| Tỷ trọng ở 20°C | 1,018 g/cm3 |
| Điểm đông đặc | 10,5°C |
| Điểm sôi | 170°C |
| Áp suất hơi ở 20°C | 0,27 mmHg |
| Độ tan trong nước | Tan hoàn toàn |
| Điểm đẳng điện | 9,5 |
Ứng dụng của Monoethanolamine (MEA)
Monoethanolamine (MEA) có nhiều ứng dụng đa dạng trong các ngành sau:
- Hấp thụ khí axit: MEA được sử dụng rộng rãi để hấp thụ CO2, H2S khỏi khí tự nhiên, khí đốt hoặc không khí.
- Xử lý nước: Hoạt động như chất trao đổi ion trong xử lý nước cứng, hệ thống làm mềm nước.
- Dung môi và tẩy rửa: Được sử dụng làm dung môi cho sơn, mực in, chất tẩy rửa và chế phẩm tẩy rửa.
- Xà phòng và bôi trơn: Thành phần để sản xuất xà phòng, chất khấy và dầu bôi trơn.
- Chất điện phân: Dùng trong dung dịch điện phân để mạ kim loại và xử lý bề mặt.
- Chất khử đông: Được sử dụng làm chất khử đông cho đường ống dẫn khí tự nhiên.
- Hóa chất phụ gia xi măng: Cải thiện độ đông kết và làm chậm quá trình đông cứng của xi măng.
- Nhuộm và hoàn thiện dệt may: Dùng làm chất kiềm hoá và làm bóng trong ngành sản xuất sợi, nhuộm vải.
Báo giá Monoethanolamine (MEA)
Monoethanolamine (MEA) là một hợp chất hữu cơ quan trọng được sử dụng rộng rãi trong nhiều ngành công nghiệp khác nhau. Trên thị trường giá Monoethanolamine dao động từ 38.000-52.000vnd/kg
Đại lý phân phối Monoethanolamine (MEA) tại Hà Nội, TP.HCM
Tại Việt Nam, Monoethanolamine (MEA) được phân phối bởi Công ty TNHH Hicotech Việt Nam - đơn vị nhập khẩu và phân phối các sản phẩm hóa chất công nghiệp. Chúng tôi tự hào là nhà cung cấp cho nhiều doanh nghiệp lớn như: Vinfast, Viettel, MCNEX,...
.jpg)
Cam kết của Hicotech Việt Nam
Với phương châm "Chất lượng - An toàn - Giá cạnh tranh", Hicotech cam kết:
- Cung cấp Monoethanolamine (MEA) chính hãng, đạt tiêu chuẩn quốc tế
- Dịch vụ tư vấn kỹ thuật tận tình, chuyên nghiệp
- Giao hàng nhanh chóng trong vòng 24 giờ tại Hà Nội và TP.HCM
- Bảo đảm quy trình giao nhận, vận chuyển an toàn theo tiêu chuẩn
- Báo giá cạnh tranh, đảm bảo lợi ích cho khách hàng
Mọi nhu cầu về Monoethanolamine (MEA) hoặc các sản phẩm hóa chất khác, vui lòng liên hệ Hicotech để được tư vấn và hỗ trợ chu đáo nhất.. Chúng tôi sẽ mang đến cho bạn sự tin tưởng về nguồn cung và chất lượng sản phẩm.
- Website: https://hicotech.com.vn/
- Email: Sales@hicotech.com.vn
- Hotline: 0945 261 931
Có 0 bình luận, đánh giá về Dung môi Monoethanolamine (MEA)
TVQuản trị viênQuản trị viên